DAP142 FCC

The FCC Declaration of Conformity or the FCC label or the FCC mark is a certification mark employed on electronic products manufactured or sold in the United States which certifies that the electromagnetic interference from the device is under limits approved by the Federal Communications Commission.
Description
The FCC label is found even on products sold outside the US territory, because they are either products manufactured in the US and had been exported, or they are also sold in the US. This makes the FCC label recognizable worldwide even to people to whom the name of the agency Federal Communications Commission is not familiar
The Federal Communications Commission established the regulations on electromagnetic interference under Part 15 of the FCC rules in 1975. After several amendments over the years, these regulation were reconstituted as the Declaration of Conformity and Certification procedures in 1998.
FCC Compliance
(15C) This device complies with Part 15 of the FCC Rules. Operation is subject to the following two conditions:
- This device may not cause harmful interference;
- This device must accept any interference received, including interference that may cause undesired operation.
Changes or modifications not expressly approved by the manufacturer could void the user's authority to operate the equipment.
The antenna(s) used for this transmitter must not be co-located or operating in conjunction with any other antenna or transmitter.
(15B) This equipment has been tested and found to comply with the limits for a Class B digital device, pursuant to Part 15 of the FCC Rules.
These limits are designed to provide reasonable protection against harmful interference in a residential installation. This equipment generates, uses and can radiate radio frequency energy and, if not installed and used in accordance with the instructions, may cause harmful interference to radio communications. However, there is no guarantee that interference will not occur in a particular installation. If this equipment does cause harmful interference to radio or television reception, which can be determined by turning the equipment off and on, the user is encouraged to try to correct the interference by one or more of the following measures:
- Reorient or relocate the receiving antenna.
- Increase the separation between the equipment and receiver.
- Connect the equipment into an outlet on a circuit different from that to which the receiver is connected.
- Consult the dealer or an experienced radio/ TV technician for help.
FCC RF Exposure Information
This device complies with the relevant FCC RF radiation exposure limit set forth for an uncontrolled environment.
The antenna(s) used for this transmitter must not be co-located or operating in conjunction with any other antenna or transmitter and must be installed to provide a separation distance of at least 20cm from all persons.
DAP142 FCC
Grantee Code: 2AET4
North America version
FCC ID: 2AET4RUT142
We, TELTONIKA NETWORKS, have fulfilled our duty of testing the device for all the required standards by FCC.
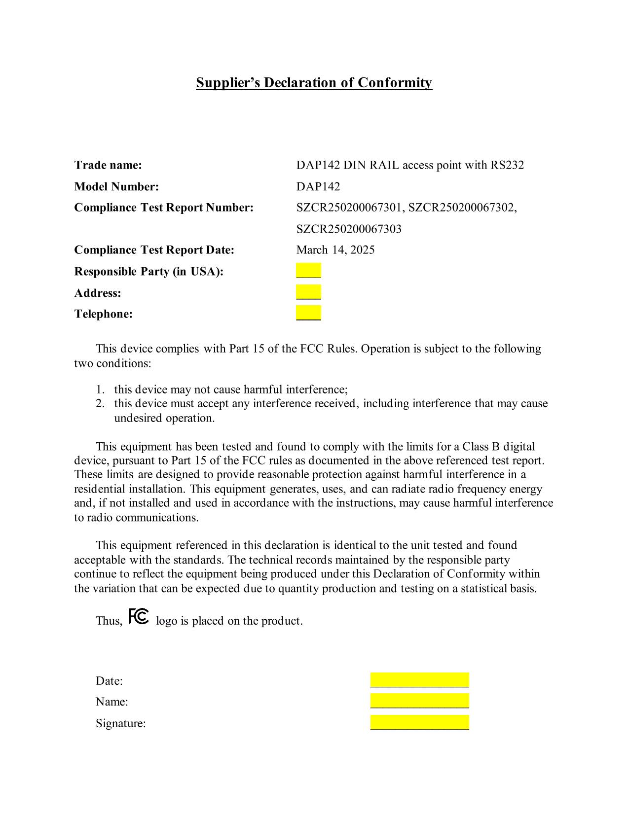
Only Importer or Marketer, local US entity, can sign Supplier's Declaration of Conformity, therefore please find SDoC below and sign by your own entity's name.
To download a PDF version of the declaration, click here. WORD version of the declaration, click here
External links
Disclaimer:
Test reports that are referenced in declarations and certificates can be provided upon request. For the request to be approved, the recipient of the test reports should be a certification authority or certified test house. The recipients will be asked to sign a non-disclosure agreement (NDA).
